摘要
目的:探讨中性粒细胞明胶酶相关脂质运载蛋白(neutrophil gelatinase-associated lipocalin,NGAL)和网织红细胞百分比(reticulocyte%,Ret%)在急性肾损伤(acute kidney injury,AKI)和慢性肾脏病(chronic kidney disease,CKD)鉴别诊断中的价值。方法:纳入南京医科大学第一附属医院肾内科 2016 年 7 月—2020 年 1 月收治的 437 例肾病患者。采用回顾性队列研究将患者分为 AKI 组(n=140)和 CKD 组(n=297),通过倾向评分匹配法校正组间混杂因素后,比较两组的尿/血清 NGAL (urinary NGAL/serum NGAL,u/sNGAL)、Ret%水平差异。根据肾小球滤过率对肾功能分层后,评估 u/sNGAL、Ret%及其乘积 (u/s NGAL×Ret%)在AKI与CKD鉴别中的效能。结果:AKI组u/s NGAL×Ret%显著高于CKD组[1.74(0.81,4.17)vs. 0.28(0.15, 0.55),P < 0.001]。经1∶1倾向匹配(每组46例)后,AKI组Ret%、u/s NGAL以及u/s NGAL×Ret%均显著高于CKD组[1.75(1.26, 2.53)vs. 1.37(1.16,1.83),P=0.027;0.64(0.33,1.52)vs. 0.31(0.13,0.76),P=0.006;1.27(0.59,3.31)vs. 0.46(0.25,1.53), P=0.001]。受试者工作特征(receiver operating characteristic,ROC)曲线分析表明,在全部患者中,Ret%、u/sNGAL 以及 u/s NGAL×Ret%均能有效鉴别AKI与CKD,曲线下面积分别为0.701、0.848和0.870。肾功能分层亚组分析显示,在所有的亚组中, u/sNGAL×Ret%在 AKI 组均明显升高(P < 0.01)。eGFR≥60 mL/(min·1.73 m2 )亚组中,u/sNGAL×Ret%和 Ret%均可有效鉴别 AKI和CKD。eGFR<60 mL/(min·1.73 m2 )亚组中,u/sNGAL×Ret%鉴别AKI和CKD能力显著优于Ret%(P < 0.05)。结论:u/sN- GAL×Ret%显示出了良好的AKI与CKD鉴别诊断价值,尤其是在肾功能受损患者中表现更为突出,可作为临床诊断的可靠指标。
关键词
Abstract
Objective:To investigate the value of neutrophil gelatinase-associated lipocalin(NGAL)and reticulocyte percentage (Ret%)in the differential diagnosis of acute kidney injury(AKI)and chronic kidney disease(CKD). Methods:A total of 437 patients with nephropathy admitted to the Department of Nephrology of the First Affiliated Hospital with Nanjing Medical University from July 2016 to January 2020 were included. In this retrospective cohort study,patients were divided into AKI group(n=140)and CKD group (n=297). After adjusting for intergroup confounding factors using propensity score matching(PSM),the differences in urinary NGAL/ serum NGAL(u/sNGAL)and Ret% were compared between the two groups. After stratifying renal function based on glomerular filtration rate(GFR),the efficacy of u/sNGAL,Ret%,and their product(u/sNGAL × Ret%)in differentiating AKI from CKD was evaluated. Results:The level of u/sNGAL ×Ret% in AKI group was significantly higher than that in CKD group[1.74(0.81,4.17)vs. 0.28(0.15,0.55),P < 0.001]. Propensity-matched analysis included 46 patients in each group. After 1∶1 propensity score matching (46 cases in each group),the Ret%,u/sNGAL,and u/sNGAL×Ret% in the matched AKI group were significantly higher than those inthe matched CKD group[1.75(1.26,2.53)vs. 1.37(1.16,1.83),P=0.027;0.64(0.33,1.52)vs. 0.31(0.13,0.76),P=0.006;and 1.27 (0.59,3.31)vs. 0.46(0.25,1.53),P=0.001]. In the entire patient population,the receiver operating characteristic(ROC)curve analysis indicated that Ret%,u/sNGAL and u/sNGAL×Ret% were all effective in differentiating AKI from CKD,with areas under the curve(AUC)of 0.701,0.848 and 0.870,respectively. The subgroup analysis stratified by renal function showed that in all subgroups, u/sNGAL×Ret% was significantly elevated in the AKI group(P < 0.01). In the subgroup analysis of patients with eGFR ≥ 60 mL/(min· 1.73 m2 ),both u/sNGAL×Ret% and Ret% were effective in differentiating AKI from CKD. However ,in the subgroup analysis of patients with eGFR < 60 mL/(min·1.73 m2 ),u/sNGAL×Ret% was significantly better than Ret% in differentiating AKI from CKD(P < 0.05). Conclusion:u/sNGAL ×Ret% shows a good value in the differential diagnosis of AKI and CKD,especially in patients with impaired renal function,and could be used as a reliable index for clinical diagnosis.
急性肾损伤(acute kidney injury,AKI)的特征是短时间内肌酐上升、尿量下降、肾功能急剧恶化,但这种症状通常具有可逆性[1],而慢性肾脏病(chronic kidney disease,CKD)是指各种原因引起的肾脏结构或功能异常≥3个月,包括出现肾脏损伤标志,主要表现为肾功能持续进展和不可逆性丧失[2]。临床上 AKI与CKD的鉴别较为困难,尤其是在没有既往血清肌酐水平的情况下。然而,早期和准确的诊断可以提供及时有效的治疗机会,以防止疾病进一步进展[3]。目前,缺乏用于早期和准确诊断肾功能不全 AKI患者的靶向手段。中性粒细胞明胶酶相关脂质运载蛋白(neutrophil gelatinase⁃associated lipocalin, NGAL)在肾脏损伤时表达明显增加,并且能够在血清和尿液中被检测到。在心脏外科、危重症、肾移植等领域,NGAL 的表达水平升高可作为预测 AKI 的生物标志物[4-5],也有研究表明在早期 CKD 患者中,估算的肾小球滤过率(estimated glomerular filtration rate,eGFR)、血浆 NGAL 与 CKD 严重程度呈正相关[6],尿 NGAL(urinary NGAL,uNGAL)可以区分 AKI 和稳定的 CKD[7-8]。本课题组前期研究发现,与单独的血清 NGAL(serum NGAL,sNGAL) 和 uNGAL 水平相比,uNGAL 和 sNGAL 的比值 (u/sNGAL)在鉴别肾内科 AKI 和 CKD 患者方面的表现明显更优[9]。
促红细胞生成素(erythropoietin,EPO)是机体调节红系造血功能的主要因子,主要由肾脏分泌。 EPO 产生不足和释放缺乏,影响红系造血功能,抑制骨髓网织红细胞的释放[10]。因此,肾性贫血是 CKD 患者的常见并发症之一。网织红细胞是晚幼红细胞脱核后发育为成熟红细胞过程中的过渡型细胞,是评价骨髓造血功能和红细胞生成能力的重要指标[11]。有研究表明,在CKD人群中网织红细胞降低[12]。虽然在 AKI 中,也常出现贫血,但与 CKD 贫血的原因不同,AKI的贫血多半是由于炎症,研究提示在AKI人群中EPO的产生增加[13]。那么,网织红细胞百分比(reticulocyte%,Ret%)是否能够鉴别 AKI 及CKD,或者能否协同u/sNGAL 增加其鉴别能力有待进一步研究。
因此,本研究检测NGAL和Ret%在肾内科患者中鉴别AKI与CKD的性能。
1 对象和方法
1.1 对象
采用回顾性研究的方法,选取 2016 年 7 月— 2020年1月在南京医科大学第一附属医院肾内科诊断为AKI或CKD的成人患者,纳入标准:AKI的诊断遵循 AKI Network 标准[14],CKD 的诊断是基于改善全球肾脏病预后组织(Kidney Disease:Improving Global Outcomes,KDIGO)指南[15],根据诊断分为 CKD组和AKI组。排除标准:①妊娠或年龄<18岁; ②临床资料不完整;③伴有精神疾病者或伴有认知、智力障碍;④脓毒症、肾盂肾炎、CKD 持续性透析、肾移植史;⑤急性出血、失血性休克。
本研究符合赫尔辛基宣言,并获得南京医科大学第一附属医院伦理委员会批准(伦理编号:2021⁃ SR⁃398),患者均知情同意。
1.2 方法
1.2.1 一般资料收集
收集患者的一般资料,如性别、年龄、病史(是否存在高血压、糖尿病和心血管疾病)、白细胞、血小板计数、Ret%、白蛋白、血红蛋白、空腹血糖、总胆固醇、甘油三酯、高密度脂蛋白胆固醇、低密度脂蛋白胆固醇、尿酸、肌酐、尿素、尿蛋白通过评估尿肌酐浓度进行标准化,并计算尿蛋白/肌酐比值 (urinary protein/creatinine ratio,uPCR)。根据公式计算eGFR[16]。在入院时、透析前(如需要)采集血液和尿液,检测 sNGAL 和 uNGAL。用荧光免疫法测定 sNGAL和uNGAL的含量(Getein Biotech公司)[17],根据生产商的说明书,动态范围为50~5 000 ng/mL,并计算出两者的比值(u/sNGAL)。
1.2.2 亚组分析
在亚组分析中,根据患者的肾功能进行分组:当 eGFR≥60 mL/(min · 1.73 m2)时为组 1; eGFR≥30~60 mL/(min·1.73 m2)时为组2;eGFR≥15~30 mL/(min·1.73 m2)时为组 3;eGFR<15 mL/(min· 1.73 m2)时为组4。
1.2.3 倾向性匹配分析
为避免多个因素互相影响,采用倾向性匹配分析后比较两组NGAL和Ret%的值。使用Logistic模型生成变量的倾向评分,这些变量包括年龄、性别、高血压病史、糖尿病史、心血管病史、白细胞、血小板计数、白蛋白、血红蛋白、空腹血糖、总胆固醇、甘油三酯、高密度脂蛋白胆固醇、低密度脂蛋白胆固醇、尿酸、肌酐、尿素、eGFR、uPCR。采用最近邻匹配算法进行1∶1匹配,如果变量倾向性评分的绝对差异≤0.02,则认为该变量两组匹配。
1.3 统计学方法
数据采用 SPSS 25.0 软件和 MedCalc 19.0 软件分析。非正态分布计量资料以中位数(四分位数) [M(P25,P75)]表示,组间比较采用秩和检验。分类变量以频数(百分率)表示,并使用卡方检验或Fisher 精确检验进行比较。绘制受试者工作特征(receiver operating characteristic,ROC)曲线,并计算曲线下面积(area under curve,AUC)以评估预测因子的性能。P <0.05为差异有统计学意义。
2 结果
2.1 研究人群的基本特征
本研究共纳入了 437 例患者,其中 140 例 (32.0%)AKI患者,297例(68.0%)CKD患者。AKI组患者病因包括原发性肾小球肾炎进展(24.3%),血管炎(11.4%),糖尿病肾病(8.6%),狼疮性肾炎 (5.4%),过敏性紫癜性肾炎(2.1%),抗肾小球基底膜肾炎(1.4%),高尿酸痛风性肾病(2.1%),高血压急症(1.0%),流行性出血热(4.3%),多发性骨髓瘤 (1.4%),尿路梗阻(1.4%),横纹肌溶解症(1.4%),肾前性损伤(0.7%),活检证实的急性间质性肾炎 (15.0%),活检证实急性肾小管坏死(3.6%),不明原因(15.9%)。CKD组患者病因包括原发性肾小球肾炎(47.8%),糖尿病肾病(22.2%),痛风性肾病 (9.4%),高血压肾病(5.1%),狼疮性肾炎(4.8%),过敏性紫癜性肾炎(2.0%),血管炎(1.3%),不明原因 (7.4%)。如表1所示,CKD 组高血压患病率较高, AKI组心血管患病率较高,两组糖尿病患病率差异 P=0.05,位于临界值,提示 CKD 组糖尿病患病率较 AKI组有增高的趋势,有待于样本量增加进一步明确其变化是否具有统计学意义。与CKD 组患者相比,AKI 组年龄、白细胞、Ret%、尿素、肌酐、尿酸、 uPCR、u/sNGAL以及u/sNGAL×Ret%水平升高,而血红蛋白、白蛋白、血小板计数、总胆固醇、高密度脂蛋白胆固醇、低密度脂蛋胆固醇以及 eGFR 水平降低。两组性别(P=0.837)、空腹血糖(P=0.847)、甘油三酯(P=0.329)基线差异无统计学意义。
2.2 倾向性匹配分析
由表1可见,AKI 的总体人群和 CKD 的总体人群差异较大,这可能和住院人群的选择偏倚有关。在CKD人群中,即使肾功能比较差,但没有出现明显的并发症时,患者仍多数在门诊治疗,初次发现 CKD 的人群为进一步明确病因需肾活检收住入院。而AKI组在轻度肾功能受损时可能不会引起非肾科医生的关注。AKI和CKD两组患者之间eGFR、血红蛋白等均存在显著差异。在本课题组既往的研究以及文献报道[9,18-20] 中,u/sNGAL 与肾功能, Ret%与贫血均密切相关,这可能使判断出现严重的偏差。因此,为控制混杂因素,采用倾向性匹配分析匹配 eGFR、血红蛋白等因素后比较两组 u/s NGAL 以及Ret%的差异。共筛选出46对匹配良好的配对,如表2所示,匹配后年龄、性别、高血压病史、糖尿病病史、心血管病史、白细胞、血小板计数、白蛋白、血红蛋白、空腹血糖、总胆固醇、甘油三酯、高密度脂蛋白胆固醇、低密度脂蛋白胆固醇、尿酸、肌酐、尿酸、eGFR、uPCR等未显示出显著差异。匹配后两组比较,AKI 组较 CKD 组 Ret%[1.75(1.26,2.53)vs.1.37(1.16,1.83),P=0.027]和 u/sNGAL[0.64(0.33, 1.52)vs. 0.31(0.13,0.76),P=0.006]更高。另外, u/sNGAL×Ret%在两组之间也差异有统计学意义,匹配后的AKI组较CKD组更高[1.27(0.59,3.31)vs. 0.46(0.25,1.53),P <0.001]。
2.3 u/s NGAL×Ret%用于区分AKI和CKD
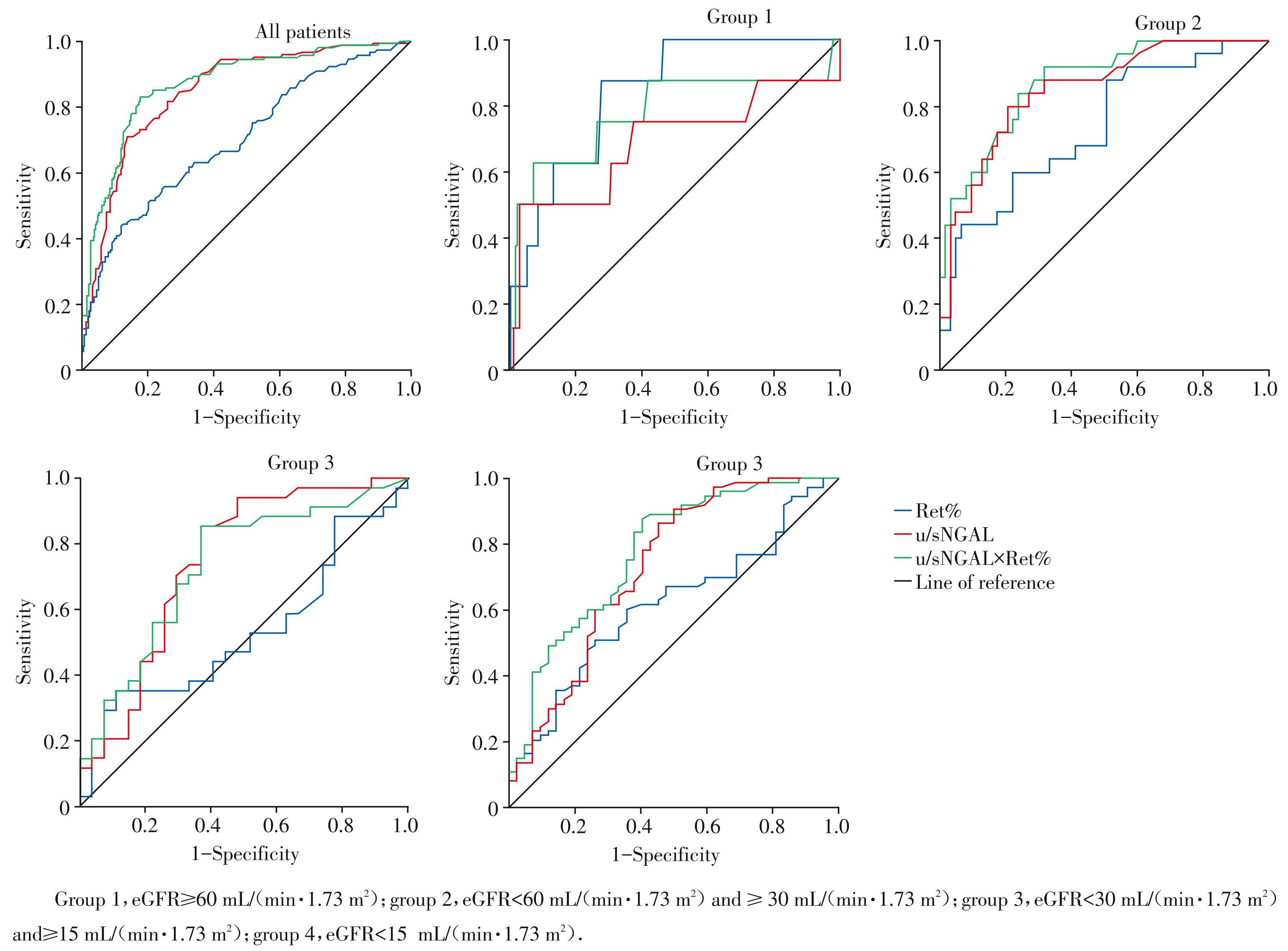
为进一步确定区分AKI和CKD的最佳生物标志物,对所有患者进行了ROC曲线分析。如图1和表3所示,Ret%的AUC为0.701(0.648~0.755),u/sNGAL 的 AUC 为 0.848(0.810~0.887),u/sNGAL × Ret% 的 AUC 为0.870(0.833~0.907)。由此可见,u/s NGAL× Ret%的 AUC 最高,且与 u/sNGAL(P=0.043)和 Ret% (P <0.001)的AUC值相比,差异均有统计学意义。
表1入组的AKI和CKD患者的基线临床特征
Table1Baseline clinical features of enrolled patients with AKI and CKD
AKI:acute kidney injury;CKD:chronic kidney disease;Ret%:reticulocyte percentage;WBC:white blood cell;PLT:platelet;Hb:hemoglobin; FBG:fasting blood glucose;TC:total cholesterol;TG:triglyceride;HDL⁃C:high⁃density lipoprotein cholesterol;LDL⁃C:low⁃density lipoprotein choles⁃ terol;BUN:blood urea nitrogen;SCr:serum creatinine;UA:uric acid;eGFR:estimated glomerular filtration rate;NGAL:neutrophil gelatinase⁃associated lipocalin;u/sNGAL:the ratio of urinary NGAL to serum NGAL;uPCR:urinary protein/creatinine ratio;u/sNGAL×Ret%:the product of the ratio of urinary and serum NGAL and the percentage of reticulocytes.
表2倾向性匹配分析
Table2Propensity⁃matched analysis
(续表2)
For the abbreviations,please see those in the Table 1.
按肾功能 eGFR 的值进行亚组分析(n=437)。 Ret%在组 1(P <0.001)、组 2(P <0.001)和组 4 (P=0.041)中预测AKI的发生具有价值,u/sNGAL在组 2(P <0.001)、组 3(P=0.001)和组 4(P <0.001) 中能够预测 AKI 的发生,而 u/sNGAL×Ret% NGAL 在 4 组[组 1(P=0.008)、组 2(P <0.001)、组 3(P= 0.002)和组4(P <0.001)]预测AKI的AUC均有统计学意义。u/s NGAL ×Ret% 的AUC在组2(P=0.011)、组 3(P=0.016)和组4(P=0.006)均较Ret%的AUC更高,两者差异有统计学意义。表4列出 u/sNGAL×Ret%在不同肾功能分组的截断值(组1的截断值为 0.69,组2的截断值为0.32,组3的截断值为0.64,组 4的截断值为0.76),利于临床的实际应用。如图2所示,与CKD组患者相比,AKI组患者的Ret%在组 1和组2(P <0.001)明显升高,u/sNGAL 在组2、组3 和组4(P <0.001)明显升高,而u/sNGAL×Ret%在所有的亚组中(组1、组2和组4 P 均 <0.001,组3 P <0.01)均显著增高。
图1Ret%、u/sNGAL、u/sNGAL ×Ret% ROC曲线
Figure1ROC curves for Ret%,u/sNGAL,u/sNGAL ×Ret%
表3诊断AKI的不同生物标志物比较
Table3Comparison of different biomarkers for the diagnosis of AKI
Compared to the u/sNGAL×Ret%,* P <0.05,***P <0.001.
表4肾功能分层亚组间不同生物标志物的ROC曲线分析
Table4ROC curve analysis of different biomarkers among subgroups stratified by renal function
Compared to the u/sNGAL×Ret%,* P <0.05,***P <0.01.
图2肾功能分层亚组间Ret%(A)、u/sNGAL(B)、u/sNGAL×Ret%(C)比较散点图
Figure2Scatter plots comparing Ret%(A),u/sNGAL(B),and u/sNGAL×Ret%(C)among subgroups stratified by renal function
3 讨论
在临床工作中,尤其是在CKD基础上是否合并 AKI的发生时,常存在疑惑。因此,简单有效的生物标志物有助于临床的及时判断及决策。本研究表明 u/sNGAL 和 Ret%在 AKI 组较 CKD 组明显升高。此外,在倾向配比分析中,AKI 组患者的 Ret%、u/s NGAL以及u/s NGAL×Ret%仍较匹配的CKD组明显升高。进行肾功能分层后,u/sNGAL×Ret%在AKI组均较CKD组明显增高。在eGFR≥60 mL/(min·1.73 m2) 亚组分析中,u/sNGAL×Ret%和 Ret%能进行 AKI 和 CKD的区分。在eGFR<60 mL/(min·1.73 m2)亚组分析中,u/sNGAL×Ret%用于区分 AKI 和 CKD 的性能优于Ret%(P <0.05)。综上所述,u/sNGAL×Ret%在区分入住肾科的AKI患者和CKD患者时,优于其他标志物的性能。
网织红细胞是评价骨髓造血功能和红细胞生成能力的重要指标。值得注意的是,在本研究对不同肾功能亚组的分析中,AKI组与CKD组患者之间的血红蛋白水平差异无统计学意义,但组1、组2中 Ret%在AKI组均明显高于CKD组。而网织红细胞的生成与促红细胞生成素(erythropoietin,EPO)密切相关[21]。既往研究也表明,与健康对照组相比,AKI 患者血清EPO水平升高[22],而CKD患者的血清EPO 水平降低[23]。在AKI患者中炎症反应明显增高,这和组织中的缺血缺氧密不可分。组织中的缺血缺氧促进间质中成纤维样肾小管周围细胞分泌EPO,这可能部分解释了 AKI 患者 EPO 升高的原因。而在CKD患者中,肾小管间质纤维化是肾脏病理中的重要特征。转化生长因子⁃β的增加进一步促进纤维化的进展。有研究提示,转化生长因子⁃β抑制肾脏肾小管周围细胞产生 EPO[24]。EPO 的减少是导致 CKD 患者红细胞生成缺陷的主要原因,而这种由于 EPO 缺乏导致的肾性贫血通常表现为 Ret%降低[25]。ROC 曲线分析提示 Ret%在 eGFR≥30 mL/ (min·1.73 m2)或者<15 mL/(min·1.73 m2)的人群中均具有鉴别AKI和CKD的价值。
NGAL被认为是动物缺血性AKI后最快速上调的标志物之一,许多研究已经评估了它在各种临床环境中的作用[6,26]。有研究发现,AKI和其他慢性炎症性疾病(如CKD)与sNGAL和uNGAL水平升高相关[27]。但在进行 AKI 与 CKD 的诊断鉴别方面仍无法得出可靠的结论。尽管之前的研究已将NGAL解释为几种临床环境中AKI的生物标志物,包括心脏手术、肾移植和肝硬化[28-29]。在紧急情况下,通常很难确定升高的 SCr 水平是否与 AKI 或 CKD 相关。我们在前期研究中已经提示 u/sNGAL 能够在肾功能不全患者中较好地区分 AKI 和 CKD,本研究也再次验证了这个观点,同时本研究更进一步发现,u/sNGAL×Ret%能更好地区分每个分层肾功能的AKI和CKD患者。
肾功能分层的亚组分析提示,在eGFR≥60 mL/ (min·1.73 m2)时,Ret%在AKI组和CKD组差别有统计学意义,而 u/sNGAL 在两组差异无统计学意义。在eGFR≥15~<30 mL/(min·1.73 m2)的亚组中,Ret% 在AKI 和 CKD 两组中差异无统计学意义,ROC 曲线提示 u/sNGAL 能很好地区分两组。这提示 Ret%和 u/sNGAL 虽然在总人群中鉴别 AKI 和 CKD 具有统计学意义,但在部分人群中鉴别效果有缺陷的。而 u/sNGAL×Ret%解决了这一问题,在肾功能分层的亚组分析中每个亚组均存在统计学差异,这可能解释在总人群中 Ret%、u/sNGAL 灵敏度不高,但两者乘积 u/sNGAL×Ret%互相补充,灵敏度得到了明显提高。虽然灵敏度的提高可能导致检验的特异性轻度下降,但在总人群中 u/sNGAL×Ret%的 AUC 最大,这提示 u/sNGAL×Ret%更有利于区分肾内科AKI与CKD患者。
本研究为单中心研究,仍需多样本多中心进行验证本结果。且由于肾内科收治的肾前性AKI患者的患病率较低[30],本研究的结论可能不适用于肾前性AKI。此外,本研究AKI组与CKD组患者之间基线参数差异大,进行倾向匹配后病例数减少,尽管白蛋白、血红蛋白、肌酐在两组间差异无统计学意义,但其平均值相差较大,可能会对检验结果产生一定影响。这有待加大样本量,在更多的人群中探索 u/sNGAL×Ret%在急慢性肾脏疾病中的鉴别作用。
综上所述,无论是否经过肾功能匹配,AKI 患者的 Ret%和 u/sNGAL 水平均高于 CKD 患者。 u/sNGAL×Ret%可作为区分肾内科患者AKI与CKD 的简单可靠的生物标志物。
利益冲突声明:
所有作者声明无利益冲突。
Conflict of Interests:
All authors declare no conflict of interests.
作者贡献声明:
付紫琪负责数据整理与分析,论文初稿撰写,论文修改等;郦丽,吴琳,耿苏珩负责数据的整理、收集以及分析;张波负责项目管理,数据核对,论文审阅;邢昌赢负责监督、论文审阅及修改;黄智敏负责资金获取,项目管理,论文设计,论文审阅及修改。
Author’s Contributions:
FU Ziqi was responsible for data sorting and analysis,writing the first draft of the paper,and revising the paper. LI Li,WU Lin,and GENG Suheng were responsible for data collation, collection,and analysis. ZHANG Bo was responsible for project management,data checking and paper review. XING Changying was responsible for the supervision,review and revision of the paper. HUANG Zhimin is responsible for funding acquisition, project management,paper design,paper review and revision.
