LIU Zhijie , TAO Ziqi , HUANG Xi , ZHANG Yuelu , YAN Lina , ZHOU Lingfei , HUANG Menghui , WANG Fang
2026, 46(3):315-323. DOI: 10.7655/NYDXBNSN251129
Abstract:Objective:This study aimed to investigate the lipid metabolism characteristics,particularly lipid uptake and accumulation of regulatory CD4 + T cells(Treg)in the ovarian cancer microenvironment,and its potential impact on the expression of programmed cell death protein 1(PD - 1)and lymphocyte associated protein 4(CTLA - 4). Methods:The lipophilic fluorescent dye BODIPYTM 493/503 and the fluorescent fatty acid probe BODIPY™ 500/510 C1 C12 were used to detect intracellular lipid content and lipid uptake capacity,respectively,in human CD4 + Tregs isolated from ovarian cancer tissues or co -cultured with supernatants from various ovarian cancer cell lines(ES -2,SKOV3,CAOV3). Lipid metabolism was modulated using the fatty acid oxidation inhibitor Etomoxir,the fatty acid synthesis inhibitor C75,and the fatty acid uptake inhibitor sulfo-N-succinimidyl oleate(SSO). Lipid content and the expression of immunosuppressive molecules PD - 1 and CTLA - 4 were analyzed by flow cytometry. Results:CD4 + Treg infiltrating ovarian cancer tissues exhibited significantly higher lipid content and lipid uptake capacity compared to conventional CD4+ T cells(P < 0.01). Among the ovarian cancer tumor supernatant tested in vitro,CAOV3-derived supernatant most significantly enhanced intracellular lipid content and uptake capacity in CD4 + Treg relative to basal medium(P < 0.05). Furthermore,CAOV3-conditioned medium upregulated PD - 1 and CTLA -4 expression in CD4 + Treg(P < 0.05). This was accompanied by a concentration - dependent increase in both lipid accumulation and fluorescent fatty acid analog uptake(P < 0.05). Notably,the fatty acid uptake inhibitor SSO effectively reversed the CAOV3 supernatant-induced lipid accumulation(P < 0.05)in CD4+ Treg and the elevated expression of PD-1 and CTLA - 4(all P < 0.05),whereas the oxidation inhibitor Etomoxir and the synthesis inhibitor C75 had no significant effect. Conclusion:The ovarian cancer microenvironment promotes lipid uptake in CD4 + Tregs,leading to intracellular lipid droplet accumulation,which in turn enhances their immunosuppressive function,as evidenced by upregulated PD-1 and CTLA-4 expression. Targeting the fatty acid uptake pathway may represent a potential strategy to reverse Treg - mediated immunosuppression in ovarian cancer.
YANG Jie , SUN Huimiao , YANG Hong , SUN Mengyuan , CHENG Yanli , WANG Sijie
2026, 46(3):324-332. DOI: 10.7655/NYDXBNSN250828
Abstract:Objective:To explore the value of axial iterative decomposition of water and fat with echo asymmetrical and least - squares estimation quantitation sequence(IDEAL-IQ)combined with intravoxel incoherent motion(IVIM)quantitative parameters in assessing the risk stratification of acute B lymphoblastic leukemia(B - ALL)children and predicting their early response to chemotherapy. Methods:A total of 84 children with B-ALL were enrolled. According to the WHO risk classification,the children were divided into the low - risk group(n=5),the medium - risk group(n=61),and the high - risk group(n=18). Among them,79 children underwent chemotherapy and received lumbar IDEAL - IQ and IVIM scans before chemotherapy and on day 36 of induction chemotherapy. According to day 33 bone marrow MRD after chemotherapy,the children were divided into a CR group(54 cases)and an N -CR group(25 cases). Clinical data such as age,sex,risk stratification,peripheral blood white blood cell count(WBC),bone marrow blast percentage,lactate dehydrogenase(LDH),and central nervous system leukemia(CNSL)involvement were also collected. Results:In evaluating the risk stratification of children with B -ALL,the f value of the lumbar vertebrae in the high - risk group was significantly higher than that in the medium -and low - risk groups(all P < 0.001). Logistic regression analysis with peripheral blood WBC and lumbar vertebral f value as independent variables and clinical risk as the dependent variable revealed that f value is a highrisk factor for B-ALL(ORf=48 082.101,P < 0.001). In evaluating the early chemotherapy response,compared to the N-CR group,the CR group had significantly higher proton density fat fraction(PDFF)and effective transverse relaxivity rate(R2* )after chemotherapy (P=0.005,P=0.008). Pretreatment risk stratification,pure diffusion coefficient(D),and pseudo diffusion coefficient(D* )values differed significantly between the CR and N - CR groups(P < 0.001,P=0.024,and P=0.030). Post - chemotherapy PDFF,pre - chemotherapy D ,and D* values were independent risk factors for N-CR. The values of the pre-chemotherapy D+D* in predicting N-CR had an area under the curve(AUC)of 0.817,slightly higher than that of the post-chemotherapy PDFF(AUC=0.807). Conclusion:The f value of the lumbar vertebrae can be used to predict the clinical risk stratification of children with B-ALL. The pre-chemotherapy D+ D* value has significant predictive value for the early chemotherapy response of children with B-ALL.
GULINUER Abulimiti , KAIDIERYE Abudushalamu , LU Bing , YANG Weiming , ZHANG Minglei
2026, 46(3):333-342. DOI: 10.7655/NYDXBNSN250372
Abstract:Objective:To investigate the expression of C - type lectin 5A(CLEC5A)in gastric cancer tissues and explore its relationship with tumor-infiltrating immune cells(TILs)as well as its prognostic impact on gastric cancer patients. Methods:Based on The Cancer Genome Atlas(TCGA)database,gastric tumor samples were divided into CLEC5A mRNA high - expression and low - expression groups according to RNA sequencing data,and the association between CLEC5A mRNA expression and prognosis in gastric cancer was analyzed. Tissue microarrays from 145 gastric cancer patients(101 males and 44 females,mean age 60.6±11.2 years) who underwent surgery between March 2004 and December 2009 in the Affiliated Hospital of Nantong University Biobank were collected,with 36 non-cancerous gastric mucosal tissues as controls. Immunohistochemistry(IHC)was performed to evaluate CLEC5A protein expression and its association with clinical characteristics and prognosis. TIMER 2.0 and CIBERSORT databases were applied to evaluate the correlation between CLEC5A mRNA expression and immune infiltration levels of TILs. Multiplex immunohistochemistry(mIHC)was employed to detect immune cell distribution in the tumor microenvironment and validate the bioinformatics analysis results. Results:CLEC5A mRNA expression levels were significantly higher in gastric cancer tissues compared to normal gastric mucosa. IHC results showed that CLEC5A was expressed in both tumor cells and stromal lymphocytes,with significantly higher expression in gastric cancer tissues(27/36,75%)than in normal gastric mucosa(13/36,36.1%,P < 0.05). High CLEC5A expression was associated with better patient prognosis. Multivariate analysis indicated that low CLEC5A expression and advanced TNM stage were independent risk factors for poor prognosis in gastric cancer patients. Both bioinformatics analysis and mIHC validation demonstrated that CLEC5A expression levels were positively correlated with TIL infiltration,and the high CLEC5A expression group exhibited significantly increased infiltration of CD4 + T cells,CD8 + T cells,CD45RO+ cells,FOXP3 + T cells,PD1 + cells and PDL1 + cells compared to the low -expression group(all P < 0.05). Conclusion:CLEC5A may participate in gastric cancer progression by regulating TIL infiltration,and its high expression suggests better prognosis,potentially serving as a novel therapeutic target for gastric cancer immunotherapy.
LIU Jinyu , DUAN Jiawen , ZHANG Zhisheng
2026, 46(3):343-354. DOI: 10.7655/NYDXBNSN250567
Abstract:As a malignant neoplasm exhibiting the highest global incidence among women,breast cancer continues to present significant therapeutic challenges despite markedly enhanced 5-year survival rates. Notably,treatment efficacy for aggressive subtypes such as triple -negative breast cancer remains suboptimal. This comprehensive review elucidates the intricate mechanisms within the breast tumor microenvironment(TME) through integrated metabolic and immunological perspectives,establishing metabolic reprogramming and immune evasion as fundamental drivers of disease progression. Tumor cells execute Warburg effect - mediated lactate overproduction,simultaneously fueling proliferative demands while acidifying the microenvironment to suppress anti - tumor activity of T cells and NK cells. Substantial heterogeneity in metabolic and immune signatures across molecular subtypes creates new paradigms for precision oncology. Our analysis delineates the metabolic-immune crosstalk network within breast TME,emphasizing the immunosuppressive roles of lactate and lipid metabolites. We critically examine translational barriers in precision medicine implementation,particularly addressing unresolved challenges of patient heterogeneity and underdeveloped biomarkers. By systematically exploring TME molecular mechanisms,identifying precision medicine limitations,and projecting future therapeutic trajectories,this review establishes a framework for overcoming current treatment impasses through innovations in combinatorial targeting,predictive modeling,and biomarker discovery.
JIAO Yi , ZHAO Tingyu , LIU Lingxiang
2026, 46(3):355-365. DOI: 10.7655/NYDXBNSN251274
Abstract:Thymic epithelial tumor(TET)represents a rare malignant mediastinal neoplasm with limited systemic treatment options for advanced - stage patients. In recent years,immunotherapy has been widely applied in solid tumors such as lung cancer and melanoma. Clinical studies of programmed death - 1/programmed death - ligand 1(PD - 1/PD - L1)inhibitors in TET have also demonstrated preliminary efficacy. However,immunotherapy in TET is associated with specific and highly prevalent immune -related adverse events(irAE),severely limiting its clinical application. With advances in understanding the pathophysiology of irAE and the adoption of multidisciplinary management approaches,early recognition,tiered interventions,and personalized treatment strategies have progressively matured. The implementation of these systematic management protocols provides critical safeguards for the safe advancement of immunotherapy in TET and holds promise for further improving patient survival outcomes. This article provides a systematic review of research progress in immunotherapy for TET,the potential mechanisms underlying irAE,and comprehensive management strategies.
TAO Huimin , XU Siliang , HOU Zhen
2026, 46(3):366-374. DOI: 10.7655/NYDXBNSN251013
Abstract:Letrozole is a highly effective non - steroidal aromatase inhibitor that reduces estrogen levels by inhibiting aromatase activity. It has important application value in the field of fertility preservation,especially in patients with malignant tumors. For patients with estrogen-sensitive malignant tumors such as breast cancer,letrozole can reduce the concentration of circulating estrogen in the body during ovulation induction,thereby reducing the adverse effects of high estrogen on tumors during traditional ovulation induction,and effectively promote follicular development. However,the low estrogen level environment in the body brought about by letrozole may lead to decreased oocyte maturity or embryo quality and reduced embryo implantation rate. Further large-scale clinical studies are needed in the future to clarify its long-term safety and efficacy in fertility preservation,and provide more precise treatment strategies for fertility preservation in patients with malignant tumors.
YANG Yan , HU Qinqin , LIU Yi , HUANG Yan , ZHANG Xiangrong
2026, 46(3):375-383. DOI: 10.7655/NYDXBNSN251115
Abstract:Objective:To examine the variations in drug resistance between rifampicin(RIF)and rifabutin(RFB)in Mycobacterium tuberculosis(MTB)with rpoB gene mutations but phenotypically sensitive. Methods:Sputum or bronchoalveolar lavage fluid samples from pulmonary tuberculosis patients at the Affiliated Nanjing Hospital of Nanjing University of Chinese Medicine from January 2022 to December 2024 were collected. These samples underwent MTB culture,Xpert molecular drug susceptibility testing(DST),and rpoB gene sequencing. Strains with rpoB mutations that were phenotypically sensitive,showed low-level resistance,or selected cases of highevel resistance to RIF were screened. The minimum inhibitory concentrations(MIC)of RIF and RFB were determined using the concentration gradient method. Results:A total of 298 strains were included,with both molecular and phenotypic DST being positive. The molecular DST showed a sensitivity of 93.3% and a specificity of 94.6% for detecting RIF resistance,with an overall accuracy of 94.3%. Among 82 molecularly resistant strains,rpoB gene mutations were detected in 96.3%,with common mutation sites at codons 531,526,and 511. Agar-based phenotypic DST results showed that S531L,H526Y,H526R,H526Q,and D516V mutations conferred high -level resistance to RIF;S512G,S522L,and L533P conferred low -level resistance;while H526L,D516Y,L511P,and P483L mutations were phenotypically sensitive to RIF. MIC testing revealed that only H526L and L511P mutations were sensitive to both drugs. In contrast,strains with mutations including S531L,L511P combined with H526Q,H526D,D516Y,S512G,S522L,L533P,and P483L were resistant to RIF but remained sensitive to RFB. Overall,the log-transformed RIF MIC(log2 RIF-MIC)value[3.50(1.00, 4.00)]for rpoB mutant strains was significantly higher than the log-transformed RFB MIC(log2 RFB-MIC)value[2.00(-3.00,3.75)] (Z=-4.481,P < 0.001). Conclusion:This study demonstrates that different rpoB mutation sites lead to varying levels of resistance to RIF and RFB in MTB. Compared to RIF,RFB exhibits lower MIC values and potential clinical effectiveness against various rpoB mutant strains(e.g.,L511P,H526L,D516Y,S522L,etc.). Precise analysis of rpoB mutation sites and evaluation of their susceptibility to RFB may offer a new strategy to address the clinical dilemma of“molecular resistance-phenotypic sensitivity”and provide a basis for formulating individualized,stratified treatment plans using rifamycin drugs.
SHEN Haoran , HUANG Yixin , HE Zijie , DA Yiqiang , LU Zirong , WANG Zhihao , QIN Peng , ZHOU Sicheng , TANG Yu , GAO Haiqi , DU Mulong , ZHENG Rui
2026, 46(3):384-395. DOI: 10.7655/NYDXBNSN250124
Abstract:Objective:To investigate the knowledge,attitudes,and practices(KAP)of college students in Nanjing regarding fine particulate matter(PM2.5)pollution and its impact on respiratory health,providing theoretical and practical guidance for respiratory health education. Methods:From August to November 2024,550 college students in Nanjing were recruited as study participants. An online questionnaire survey was conducted to assess KAP related to PM2.5 pollution and respiratory health. Results:Among 451 valid responses,the accuracy rates of PM2.5 related knowledge and respiratory health knowledge were only 43.53% and 40.30%,respectively. The mean attitude score was 3.38(out of a total of 4),while the mean behavior score was 3.00(out of a total of 4). Multiple linear regression analysis revealed that economic status(monthly expenditure,household income)positively influenced knowledge(β=0.162, P < 0.01)and behavior scores(β=0.283,P < 0.01),whereas family history of respiratory diseases negatively affected knowledge scores (β=-0.108,P < 0.05). The structural equation model(SEM)confirmed the significant causal transmission effect of knowledge,attitude [standardized path coefficients(SPC)=0.270,P < 0.01],and behavior(SPC=0.148,P < 0.01). A total of 42 significant influence pathways were identified,though some knowledge components including respiratory protection exhibited negative associations with behavior,suggesting that contextual factors such as life stress and time constraints may hinder behavioral adoption. Conclusion:The awareness and countermeasures of PM2.5 pollution and its impact on respiratory health among college students in Nanjing City are generally weak. Respiratory health education based on factors such as university students’professional background,family income and age,targeted popularization of PM2.5 prevention and control knowledge and should be carried out,and the effective transformation of college students’knowledge,attitude,and behavior should be promoted through multi-subject collaborative intervention.
LI Hongqiao , HUANG Lingling , WANG Xinru , ZHANG Yi , ZHAO Mengjie , ZHENG Hanyue , WANG Bei , ZHANG Xuening , HONG Xiang
2026, 46(3):396-402. DOI: 10.7655/NYDXBNSN251161
Abstract:Objective:To explore the relationship between physical activity,sedentary time,and irregular menstrual cycles in women of reproductive age. Methods:Conducted between April and June 2024 using convenience sampling,the cross-sectional study assessed physical activity and sedentary time through the international physical activity questionnaire - short form(IPAQ - SF),while menstrual cycles were self - reported. Associations were analyzed using logistic regression and restricted cubic spline models,with E - values calculated to assess the influence of potential unmeasured confounders. Results:A total of 1 259 participants were included, with a mean age of 25.0 ± 5.3 years. The moderate physical activity was linked to a 40% lower risk of irregular menstrual cycles compared to low activity(OR=0.60,95% CI:0.44-0.81),and high physical activity was associated with a 46% reduced risk(OR=0.54, 95% CI:0.37-0.79),after adjusting for all covariates. Meeting World Health Organization guidelines for moderate-to-vigorous activity was associated with a 36% decreased risk(OR=0.64,95% CI:0.48- 0.85). No statistically significant association was observed between sedentary time and irregular menstrual cycles. E - value analysis suggested that unmeasured confounders would need a moderate association strength(1.8-2.1)with both exposure and outcome to negate these findings. The risk of irregular menstrual cycles began to rise when weekly total metabolic equivalents exceeded 3 185 min. Conclusion:Moderate to high physical activity levels are inversely related to irregular menstrual cycles in reproductive - aged women,though excessively high activity may increase risk.Ensuring adequate physical activity appears more crucial than merely reducing sedentary behavior.
GE Yuan , CAI Yanpo , LI Minghui , GU Jiaxi
2026, 46(3):403-412. DOI: 10.7655/NYDXBNSN250971
Abstract:Objective:To explore the influence of preoperative left ventricular ejection fraction(LVEF)on the risk of atrial fibrillation(AF)recurrence after combined Cox Maze Ⅳ and valvular surgery. Methods:We retrospectively reviewed clinical and follow up data of patients who underwent Cox Maze Ⅳ combined with valvular surgery at the Department of Cardiothoracic and Vascular Surgery,the First Affiliated Hospital of Nanjing Medical University,between January 2014 and December 2023. Patients were classified by echocardiographic LVEF measured within one week before surgery into a low LVEF group(LVEF<50%)and a normal LVEF group(LVEF≥50%). Propensity score matching(PSM)was performed at a 1∶2 ratio to balance baseline covariates between groups. Postoperative AF recurrence rates were compared between matched groups. Results:A total of 513 patients were initially included. Before matching,the low LVEF group comprised 66 patients(39 males,27 females)with a mean age of(59.7±8.7) years,while the normal LVEF group comprised 447 patients(179 males,268 females)with a mean age of(59.4±9.5)years. After PSM, 64 patients remained in the low LVEF group and 125 in the normal LVEF group. The postoperative AF recurrence rate was significantly higher in the low LVEF group compared to the normal LVEF group(log-rank,P=0.013). Cox regression analysis identified low LVEF as an independent risk factor for AF recurrence after Cox - Maze Ⅳ combined with valvular surgery. Conclusion:Lower preoperative LVEF is associated with a higher risk of AF recurrence after combined Cox Maze Ⅳ and valvular surgery.
MEN Chen , PANG Sisi , ZHANG Linfei , ZHAN Faliang , YE Tao , ZHENG Xiangxiang
2026, 46(3):413-417. DOI: 10.7655/NYDXBNSN251485
Abstract:Objective:To evaluate the clinical efficacy and long-term prognosis of surgical mitral valve repair combined with atrial fibrillation(AF)ablation versus standardized medical therapy in elderly patients( ≥70 years)with persistent AF complicated by moderate - to - severe atrial functional mitral regurgitation(AFMR). Methods:This retrospective cohort study included consecutive patients aged ≥70 years with AFMR and persistent AF,admitted to the First Affiliated Hospital of Nanjing Medical University or Yili Prefecture Friendship Hospital between January 2019 and December 2024. Patients were divided into two groups according to treatment strategy:the surgical group(mitral valve repair+ablation+left atrial appendage closure)and the medical group(standardized pharmacotherapy). Propensity score matching(PSM)was performed at a 1∶1 ratio to balance baseline characteristics,resulting in 91 pairs of patients. The primary endpoint was all - cause mortality;secondary endpoints included ischemic stroke,AF recurrence,and recurrence of mitral regurgitation. Results:The median follow-up for the 91 matched pairs was 41.5(26.4,47.0)months. A total of 46 deaths occurred during follow-up. The 5-year survival rates in the surgical and medical groups were 61.9% and 61.4%,respectively,with no significant difference in overall survival distributions(Log -Rank P=0.788). Compared with the medical group,the surgical group had a significantly lower incidence of ischemic stroke(5.5% vs. 18.7%,P=0.012)and moderate -to -severe mitral regurgitation (28.6% vs. 100.0%,P < 0.001). The AF recurrence rate in the surgical group was significantly lower than that in the medical group (78.0% vs. 100.0% ,P=0.002). No significant differences were found in the rates of intracranial hemorrhage or heart failure hospitalization between the two groups(all P > 0.05). Conclusion:In elderly patients with AFMR and AF,surgical intervention does not significantly prolong overall survival but offers substantial advantages in correcting valvular lesions and preventing disabling strokes. Clinical decisions should be individualized,based on an integrated assessment of physiological reserve and stroke risk.
LI Jiayong , ZHU Yi , LUO Chunyang , CHEN Xufeng
2026, 46(3):418-424. DOI: 10.7655/NYDXBNSN251304
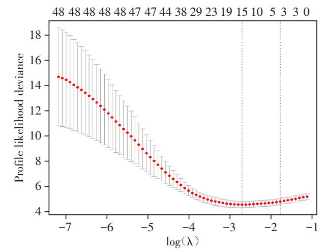
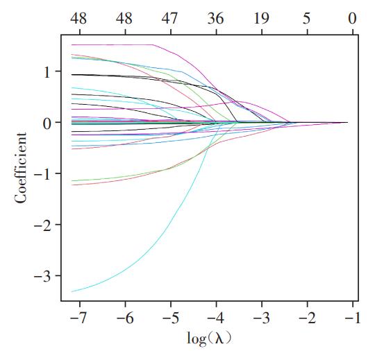
Abstract:Objective:To explore the epidemiological status of sepsis - associated myocardial injury(SAMI)and its impact on prognosis,and to construct a nomogram for early identification of high - risk groups of SAMI. Methods:A retrospective study was conducted to collect clinical data of sepsis patients hospitalized in the Department of Emergency Medicine,the First Affiliated Hospital of Nanjing Medical University from July 2023 to December 2024. The incidence of SAMI was analyzed,and 28- day Kaplan -Meier survival curves were drawn to compare the impact of SAMI on the prognosis of sepsis. Clinical variables were screened by least absolute shrinkage and selection operator(LASSO)regression and Boruta algorithm,respectively. Multivariate logistic regression analysis was used to construct the early prediction model of SAMI. Results:A total of 353 patients with sepsis were included,of whom 195(55.2%)developed SAMI during the course of the disease. The 28- day mortality risk was significantly higher in patients with SAMI than in patients without SAMI(HR=2.342,P < 0.001). By using LASSO regression and Boruta algorithm,variables were screened and intersections were taken. Finally,6 variables including age,history of coronary heart disease,creatinine,urea nitrogen, D-dimer and procalcitonin were constructed and nomogram was drawn. The area under receiver operating characteristic curve of the internal validation using the bootstrap method(resampling=1 000)was 0.770(95%CI:0.767-0.773,P < 0.001). The calibration curve fitted well,and the decision curve analysis showed that the prediction model had a good net benefit in the range of threshold probability 0-0.95. Conclusion:SAMI is a common complication of sepsis and leads to poor prognosis. Nomogram based on clinical variables has a good clinical application prospect.
2026, 46(3):425-434. DOI: 10.7655/NYDXBNSN260051
Abstract:Objective:To identify risk factors associated with in-hospital death and to develop a nomogram-based predictive model for in-hospital mortality in acute myocardial infarction(AMI)patients treated with venous-arterial extracorporeal membrane oxygenation (VA-ECMO). Methods:A total of 162 consecutive patients with AMI who received VA-ECMO support between May 2021 and June 2025 were retrospectively enrolled. The time of ECMO initiation was defined as the start of follow-up,and patients were followed until hospital discharge or death,whichever occurred first. In - hospital all - cause mortality was defined as the primary endpoint. Cox proportional hazards regression analysis was performed to evaluate the associations between candidate variables and the risk of in - hospital mortality. Variables were selected using least absolute shrinkage and selection operator(LASSO)regression,and a multivariable Cox regression model was subsequently constructed. Based on the final model,a nomogram was developed to predict in- hospital survival probability. Model discrimination was assessed using the concordance index(C -index). The 28-day time point was used as a fixed landmark for time-dependent receiver operating characteristic(ROC)curve analysis to evaluate short-term predictive performance. Model calibration was evaluated using calibration curves,and clinical utility was assessed using decision curve analysis (DCA). Results:Multivariable analysis demonstrated that cardiac troponin T,soluble suppression of tumorigenicity - 2(sST2), hemoglobin concentration,prothrombin time,serum sodium level,and alanine aminotransferase were significantly associated with inhospital mortality. White blood cell count and albumin showed borderline statistical significance in the model. The nomogram incorporating these eight variables exhibited good discriminative performance and satisfactory calibration,indicating favorable clinical applicability. Conclusion:This study identified key clinical variables associated with in-hospital mortality and successfully developed and validated a nomogram - based prediction model. The proposed model provides a simple and reliable tool for individualized risk stratification and may assist clinicians in optimizing decision-making and management strategies for this high-risk population.
CHEN Youquan , BAO Xing’an , HUANG Yi , YANG Hui , LE Linfeng , LIU Feng
2026, 46(3):435-443. DOI: 10.7655/NYDXBNSN251473
Abstract:Objective:To analyze the factors influencing the occurrence of anterior knee pain after total knee arthroplasty(TKA) without patellar resurfacing. Methods:A retrospective analysis was conducted on 2 027 patients who underwent TKA without patellar resurfacing in the Department of Orthopaedics,at the First Affiliated Hospital of Nanjing Medical University,between September 2020 and May 2025. Based on the presence of postoperative anterior knee pain,patients were divided into a non-AKP group(1 886 cases) and an AKP group(141 cases).Preoperative and postoperative radiographic parameters were measured and compared between the groups. Univariate and multivariate logistic regression analyses were performed to identify independent risk factors for anterior knee pain. Results:There were no statistically significant differences in sex,age,or body mass index(BMI)between the two groups(all P > 0.05).There were statistically significant differences between the two groups in the preoperative patellar tilt angle,preoperative patellar shift,preoperative patellar morphology,postoperative patellar tilt angle,postoperative patellar shift,postoperative patellar morphology, and patellofemoral overstuffing(all P < 0.05). The preoperative patellar thickness,preoperative patellar height,preoperative HKA angle,postoperative patellar thickness,postoperative patellar height,and postoperative HKA angle showed no significant differences between the two groups(all P > 0.05). Multivariate analysis identified postoperative patellar tilt angle,postoperative patellar shift, patellofemoral overstuffing,and patellar height as independent risk factors(all P < 0.05). Mediation analysis demonstrated that patellar morphology had no direct effect on anterior knee pain,and its influence was completely mediated by patellar tilt angle and patellar shift. Conclusion:Increased postoperative patellar tilt angle,increased postoperative patellar shift,postoperative patella baja,and patellofemoral overstuffing are independent risk factors for anterior knee pain after TKA without patellar resurfacing. Mediation analysis further revealed that the effect of patellar morphology on anterior knee pain is entirely mediated by patellar tilt angle and patellar shift.
CHEN Huan , GENG Qiming , LI Wei , LU Changgui
2026, 46(3):444-451. DOI: 10.7655/NYDXBNSN251396
Abstract:Objective:To summarize the status of native liver survival(NLS)in the early stage after Kasai procedure(KP)in patients with biliary atresia(BA),and to analyze the factors associated with early death or liver transplantation(D/LT)after KP. Methods:The clinical data of children with type Ⅲ BA who underwent KP at the Affiliated Children’s Hospital of Nanjing Medical University from May 2020 to May 2024 were collected. The Kaplan-Meier survival analysis was used to summarize the characteristics of NLS after KP at 1 year postoperatively. Univariate and multivariate Cox regression models were employed to identify associated factors for early D/LT after KP. Results:A total of 105 children with BA who underwent KP were enrolled in the study,with a follow-up period of 12 to 60 months and a median follow-up time of 34 months. Among them,41 cases experienced D/LT,including 35 cases of D/LT within the first year after surgery,accounting for 85.4% of the total D/LT cases. The Kaplan -Meier survival curve estimated an average NLS time of (38.4±2.5)months after KP,with an actual 1-year NLS rate of 66.7% and an estimated 2-year cumulative NLS rate of 59.6%. The estimated 3-5 year cumulative survival rate was consistent with the 2-year cumulative survival rate. Univariate and multivariate Cox regression models revealed that the preoperative liver stiffness measurement(LSM)by ultrasonography and a jaundice clearance(JC) time exceeding 3 months postoperatively are two independent associated factors with early D/LT after the KP[HR(95% CI):1.031(1.001- 1.064),P=0.049;HR(95% CI):6.394(3.141- 13.015),P < 0.001]. Among the 105 patients,66(62.9% )developed cholangitis within 3 months postoperatively,with 18(27.27% )developing postoperative cholangitis within the first month. A statistically significant difference was observed in the 3-month postoperative JC rates between those with cholangitis developing within 1 month postoperatively,and those with cholangitis developing after 1 month postoperatively(50.0% vs. 77.1%,χ2 =4.546,P=0.033). Conclusion:Most cases of D/LT after KP occur within the first year postoperatively,and a stable NLS state can be achieved by the second year after KP. The preoperative LSM and postoperative JC time are independent associated factors for early D/LT after KP in children with BA. The preoperative LSM was higher than 11.6 kPa,above Metavir F2,and the JC time was greater than 3 months would significantly reduce the rate of early NLS. Postoperative cholangitis within the first month after KP can reduce the JC rate within three months post-KP.
2026, 46(3):452-456. DOI: 10.7655/NYDXBNSN250974
Abstract:Objective:To analyze the clinical characteristics of patients diagnosed with dipeptidyl-peptidase-like protein 6(DPPX) antibody -associated encephalitis. Methods:A retrospective analysis was conducted on five patients with DPPX antibody -associated encephalitis admitted to the Nanjing Brain Hospital Affiliated to Nanjing Medical University between January 2016 and February 2025. Clinical characteristics,electroencephalography(EEG),magnetic resonance imaging(MRI)findings,and outcomes were reviewed. Results:All five patients were male,aged from 14 to 56 years. All patients tested positive for DPPX antibody in serum,with titers ranging from 1∶100 to 1∶10. One patient also tested positive for serum contactin-associated protein-like 2(CASPR2)antibody. Cerebrospinal fluid(CSF)DPPX antibody were negative in four patients,and positive in one patients with the titer 1∶1. Two patients presented with behavioral abnormalities,one with seizures,and one with memory impairment. The patient with concurrent anti-DPPX and anti-CASPR2 antibodies presented with multifocal migratory myoclonus. Brain MRI was normal in four patients,while one patient’s brain MRI indicated an abnormal signal in the bilateral temporal lobe. EEG of the patient with seizure onset showed heavy background abnormalities,accompanied by frequent sharp waves and sharp - slow waves in the left anterior temporal region. Conclusion:DPPX antibody -associated encephalitis is characterized by heterogeneous clinical presentations,which may complicate early diagnosis and differential diagnosis. Although immunotherapy demonstrates therapeutic efficacy,the disease remains susceptible to relapse.
WANG Anqian , LI Xinzhu , ZHOU Chenyu
2026, 46(3):457-465. DOI: 10.7655/NYDXBNSN250832
Abstract:Alzheimer’s disease(AD)has emerged as a major global public health challenge in the 21st century. Current clinical diagnosis primarily relies on techniques such as cerebrospinal fluid biomarker testing and amyloid PET imaging,yet these methods have exhibited significant limitations:cerebrospinal fluid testing is invasive,and PET imaging involves high costs and radiation exposure. Although neuropsychological scales are widely used in clinical practice,their strong subjectivity and lack of specificity considerably reduce diagnostic sensitivity,particularly in early-stage AD. In response to this situation,this article provides a systematic review of the latest advances in non-invasive diagnostic technologies for AD,with a focus on breakthroughs in peripheral biofluids(e.g., blood,saliva)biomarker detection techniques,as well as the application prospects and innovative value of artificial intelligence-driven multimodal data integration strategies in the early identification and precise diagnosis of AD.
WU Youping , LI Xiuzhen , LONG Mingzhi
2026, 46(3):466-474. DOI: 10.7655/NYDXBNSN251181
Abstract:Cardiovascular diseases remain a leading cause of mortality worldwide. Despite significant advances in diagnosis and treatment,elucidating novel mechanisms underlying their pathogenesis is still pivotal. Copper,an essential trace element for life activities,plays a critical role in maintaining cardiac myocyte energy supply and normal function,relying on finely regulated homeostasis within the body,particularly inside mitochondria. However,disruption of copper homeostasis can induce myocardial injury through multiple mechanisms. Excess copper can specifically trigger a copper - dependent mitochondrial response by binding to lipoylated enzymes in the tricarboxylic acid cycle,leading to iron-sulfur(Fe-S)cluster deficiency,protein aggregation,and prototoxic stress,ultimately resulting in cuproptosis. This review aims to summarize the molecular mechanisms of copper homeostasis and cuproptosis,as well as their recent research progress in cardiovascular diseases,hoping to provide a theoretical basis for precise prevention and treatment of these conditions.
