摘要
目的:探讨单孔电视辅助胸腔镜手术(video-assisted thoracic surgery,VATS)后慢性疼痛的危险因素,建立预测模型并加以验证。方法:回顾性分析2023年1—6月在南京医科大学附属脑科医院胸外科行单孔VATS术的302例患者,收集患者临床资料,采用数字评分量表(numeric rating scale,NRS)评定患者术后3个月的疼痛程度,分为疼痛组及非疼痛组。按照7∶3比例随机分为训练集(n=214)和验证集(n=88),对训练集采用单因素分析和多因素Logistic回归分析,并以此建立预测模型。采用受试者工作特征(receiver operating characteristic,ROC)曲线评估模型区分度、校准曲线评估模型的一致性、决策曲线分析 (decision curve analysis,DCA)评估该模型的临床价值,并在验证集中校验模型。结果:多因素分析显示年龄(OR=0.925,95% CI:0.872~0.981,P=0.009)、术后胸腔闭式引流时间(OR=1.273,95%CI:1.018~1.591,P=0.034)、术后第 1 天 C 反应蛋白 (C -reactive protein,CRP)(OR=1.090,95%CI:1.030~1.153,P=0.003)、术后第 1 天 NRS(OR=3.060,95%CI:1.879~4.981,P < 0.001)为单孔VATS后慢性疼痛的独立危险因素,基于此构建预测模型,ROC曲线下面积0.871(95% CI:0.799~0.943),最大约登指数所对应的临界值为0.195,此时灵敏度为76.5%,特异度为85.6%,Bootstrap法抽样1000次,校准曲线图预测的慢性疼痛概率与实际风险高度一致。DCA曲线表明在全预测概率下均有正收益。结论:单孔VATS后,患者年龄、术后胸腔闭式引流时间、术后第1天CRP值、术后第1天NRS评分值均为术后慢性疼痛的独立危险因素,该预测模型有助于准确预测术后慢性疼痛,有较好的临床应用价值。
Abstract
Objective:To explore the risk factors for chronic pain after single-port video-assisted thoracic surgery(VATS)and establish the predictive model to validate it. Methods:A retrospective analysis was conducted on 302 patients who underwent single-port VATS at department of thoracic surgery,the Affiliated Brain Hospital of Nanjing Medical University from January to June 2023. Clinical data of patients were collected. A numerical rating scale(NRS)was used to assess the degree of pain in patients three months after surgery,and the patients were divided into the pain group and the non-pain group. The patients were also randomly divided into a training set(n=214)and a validation set(n=88)at a 7∶3 ratio,and univariate analysis was performed on the training set. Multivariate logistic regression analysis was used to establish a predictive model. Reciever operating characteristic(ROC)curve was used to evaluate model discrimination,calibration curve was used to evaluate model consistency,decision curve analysis(DCA)was used to evaluate the clinical value of the model,and the model was verified in the validation set. Results:The multivariate analysis showed that age(OR=0.925,95%CI:0.872-0.981,P=0.009),postoperative closed chest drainage time(OR=1.273,95%CI:1.018-1.591,P= 0.034),C-reactive protein(CRP)value on the first day after surgery(OR=1.090,95%CI:1.030-1.153,P=0.003),and NRS score on the first day after surgery(OR=3.060,95%CI:1.879-4.981,P < 0.001)were independent risk factors for chronic pain after single-port thoracoscopy. Based on this,a prediction model was constructed,with an area under the ROC curve of 0.871(95%CI:0.799-0.943) and the cut-off value corresponding to the maximum Yoden index was to 0.195 with a sensitivity of 76.5% and a specificity of 85.6%.With a Bootstrap sample of 1000 times,the predicted risk of chronic pain by the calibration curve was highly consistent with the actual risk. The DCA curve indicated positive returns at all predicted probabilities. Conclusion:After single-port VATS,patient age,time of closed thoracic drainage after surgery,CRP value on the first day after surgery,and NRS score on the first day after surgery are all independent risk factors for chronic postsurgical pain. This prediction model may be helpful in accurately predicting chronic postoperative pain and may has good clinical application value.
当前肺癌已经成为全球最常见的恶性肿瘤之一,越来越多的患者需要接受电视辅助胸腔镜手术 (video⁃assisted thoracic surgery,VATS)治疗[1-4]。近年来,单孔VATS逐渐兴起,相比传统的双孔或三孔操作,单孔操作在减少手术创伤、住院费用、术后疼痛等方面更有优势[5-6]。但现阶段,术后慢性疼痛(chronic postsurgical pain,CPSP)仍然是单孔VATS术后常见的并发症,文献报道其发生率高达38.2 %[7],严重影响患者的日常生活,因此了解其危险因素对提高患者术后生活质量至关重要。然而目前研究多侧重于多孔VATS术后并发症,以及单孔VATS和多孔VATS之间的比较,较少有针对单孔VATS术后CPSP预测模型构建的研究。本研究着重探索单孔 VATS 术后 CPSP的影响因素,并以此建立预测模型,以期为患者术后疼痛的预防和管理提供理论支持,现报道如下。
1 对象和方法
1.1 对象
选取南京医科大学附属脑科医院胸外科2023年 1—6月行单孔VATS手术的患者为研究对象。纳入标准:①年龄≥18周岁;②行单孔VATS肺叶或亚肺叶切除;③患者知情同意。排除标准:①出现重大并发症;②既往有慢性疼痛病史;③二次手术;④ 长期服用精神类、镇痛类药物;⑤失访及资料不完备。根据纳入排除标准和样本量计算公式,最终纳入患者302例,满足最小样本量要求。本研究通过南京医科大学附属脑科医院医学伦理委员会审批 (审批号:2023⁃KY077⁃01),患者知情同意。
1.2 方法
1.2.1 资料收集
基于文献学习以及临床经验并经过院内专家小组讨论,本研究共纳入 15 个可能相关的危险因素,分别为患者的性别、年龄、体重指数(body mass index,BMI)、是否有高血压病史、是否有糖尿病史、是否有吸烟史、术前是否定位、手术时间、术中出血量、术后胸腔闭式引流时间、术后胸腔闭式引流管数量、术后第 1 天 C 反应蛋白(C ⁃ reactive protein, CRP)值、术后第1天数字评分量表(numerical rating scale,NRS)、术后是否静脉镇痛,术后是否药物镇痛。其中术前定位采用CT引导下hookwire针定位,术后镇痛采用静脉镇痛泵治疗,有效药物成分为布托啡诺4 mg+氟比洛芬酯200 mg+托烷司琼10 mg,对于体重>70 kg的患者,布托啡诺剂量加倍,在患者主诉静脉镇痛效果不佳时,额外予以曲马多分散片药物镇痛。
1.2.2 疼痛评分
CPSP是指在术后发生发展或加剧的疼痛,至少持续3个月。疼痛部位常位于创伤区域,并可投射到该区域神经的支配区。CPSP需要排除其他原因引起的疼痛,例如感染、恶性肿瘤复发以及既往已经存在并持续至今的疼痛[8-10]。本研究患者术后3个月均至门诊复查术后恢复情况,使用NRS评分量表进行疼痛评定,并询问患者疼痛部位、性质、诱因、是否既往存在,根据上述标准,评估患者是否有CPSP。
1.2.3 麻醉及手术方式
所有患者麻醉前诱导使用罗哌卡因联合醋酸地塞米松,肌松药物使用罗库溴铵,麻醉维持使用丙泊酚+瑞芬太尼+右美托咪定。麻醉完成后,使用罗哌卡因+醋酸地塞米松行前锯肌及肋间神经阻滞。手术时患者健侧卧位,上肺叶或中肺叶病灶选取第 4 肋间单切口,下肺叶病灶选取第 5 肋间单切口,切口长度约为3 cm。亚肺叶切除患者于手术切口置入1根20F硅胶引流管,肺叶切除患者在腋后线第7肋间额外置入1根16F猪尾导管。
1.3 统计学方法
采用SPSS20.0软件进行数据分析,符合正态分布的计量资料采用均数±标准差(),偏态分布时以中位数(四分位数)[M(P25,P75)]表示;计数资料采用例数和百分比[n(%)]表示。使用R语言行预测模型分析,对所有可能的危险因素行单因素分析,对 P <0.05 的因素进行二元 Logistic 回归分析。使用“rms”程序绘制列线图、“pROC”程序绘制受试者工作特征(receiver operating characteristic,ROC) 曲线并计算曲线下面积(area under the curve, AUC)、“forestplot”程序绘制森林图、“ggDCA”程序进行临床决策曲线分析(decision curve analysis, DCA)。P <0.05 为差异有统计学意义。
2 结果
2.1 一般资料及单因素分析结果
本研究共纳入 302 例患者,其中男 132 例,女 170例,年龄57.0(48.0,65.0)岁,按照7∶3的比例随机分为训练集(n=214)和验证集(n=88),在训练集中按照是否有 CPSP,分为疼痛组 30 例以及非疼痛组 184 例。训练集单因素分析和 Logistic 回归分析结果显示,性别、BMI、是否有高血压史、术中出血量、术后是否药物镇痛差异均无统计学意义;而年龄、是否有糖尿病史、是否有吸烟史、术前是否定位、手术时间、术后是否静脉镇痛、术后胸腔闭式引流管数、术后胸腔闭式引流持续时间、术后第 1 天 CRP 值以及 NRS 评分值差异均有统计学意义(P <0.05,表1)。
2.2 多因素分析结果
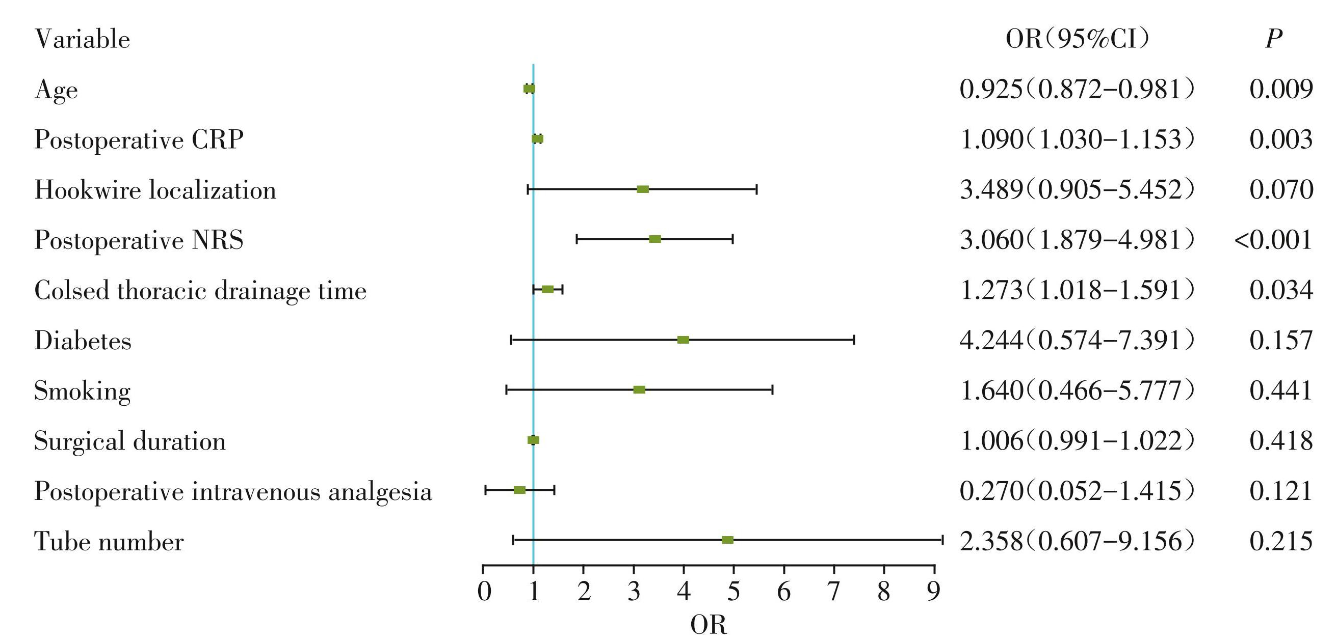
将以上有统计学意义的因素纳入多因素回归分析,结果显示年龄(P=0.009)、术后胸腔闭式引流持续时间(P=0.034)、术后第1天CRP值(P=0.003)、术后第1天NRS评分值(P <0.001)是单孔VATS 后 CPSP 的独立危险因素。其中年龄与 CPSP 呈负相关,引流管持续时间、术后第 1 天 CRP 值以及术后第 1 天 NRS 评分值与 CPSP 呈正相关(表2、图1)。
表1训练集慢性疼痛组与非慢性疼痛组单因素分析结果
Table1Results of univariate analysis between the pain group and non⁃pain group in training set
2.3 列线图构建
将上述独立危险因素纳入列线图模型,最终得出结果。根据患者年龄、胸腔闭式引流持续时间、术后第1天CRP值以及术后第1天NRS评分值实际情况,记录每项所对应列线图中的首行评分,将所评分相加,可预测患者CPSP的发生概率(图2)。
表2训练集多因素分析结果
Table2Results of multivariate analysis in training set
图1训练集多因素分析森林图
Figure1Forest plot of multivariate analysis in training set
图2单孔VATS术后慢性疼痛预测的列线图
Figure2Nomogram for chronic pain after single⁃port VATS
2.4 模型的验证及效能
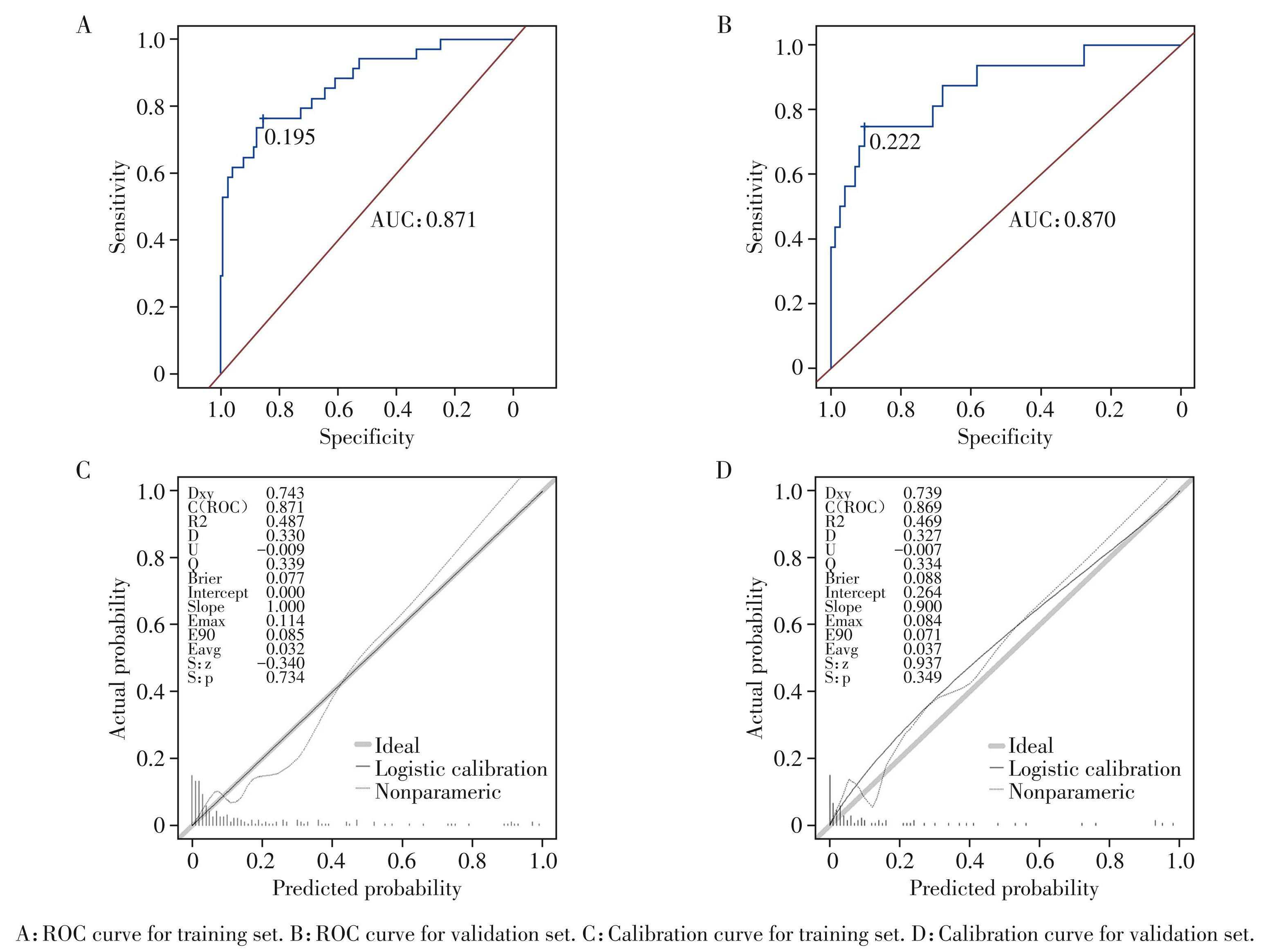
训练集 AUC 为 0.871(95%CI:0.799~0.943),最大约登指数对应的临界值为 0.195,此时灵敏度为 76.5%,特异度为85.6%,校准曲线Brier值为0.077。将训练集模型置入验证集中进行验证,验证集AUC 为 0.870(95%CI:0.756~0.932),最大约登指数对应的临界值为 0.222,此时灵敏度为 75.0%,特异度为 90.3%,校准曲线Brier值为0.088。表明本预测模型具有良好的区分度及校准度(图3)。
通过Bootstrap法重复抽样1 000次进行再次验证,曲线显示预测值与实际发生结果吻合度良好。训练集平均绝对误差为0.029,验证集平均绝对误差为0.034,提示校准曲线所预测的风险与实际发生风险高度一致(图4)。
2.5 临床决策分析模型
DCA 曲线显示本预测模型在全预测概率下均表现为正临床收益。其中绿色虚线表示所有术后患者均实施干预所获净收益,蓝色虚线表示对所有术后患者均不实施干预所获净收益(图5)。
图3单孔VATS术后慢性疼痛预测模型ROC曲线及校准曲线
Figure3ROC curve and calibration curve construction for chronic pain after single⁃port VATS
图4单孔VATS术后慢性疼痛Bootstrap校准曲线
Figure4Calibration curve of bootstrap for chronic pain after single⁃port VATS
图5单孔VTAS术后慢性疼痛预测模型的临床DCA
Figure5Clinical DCA for chronic pain after single ⁃port VTAS
3 讨论
CPSP是外科手术的常见并发症,目前将术后持续时间超过3个月,排除其他原因引起的疼痛定义为 CPSP[10],该并发症可严重影响患者生活质量,导致患者出现焦虑情绪、失眠甚至阿片类药物的滥用[11-12]。而 VATS 术后的慢性疼痛尤为常见,目前多数报道其发生率为20%~60%[7,13]。近年来,单孔 VATS 手术在多中心开展,相比传统的双孔或三孔术式,其在减少CPSP方面有较大优势,但其发生率仍然不可忽视[14],因此探究其发生的危险因素并建立预测模型有助于提高患者术后生活质量。目前并无单孔VATS术后CPSP的相关预测模型,笔者所在科室自2014年以来常规开展单孔VATS手术,本研究通过收集302例患者临床资料以及术后3个月的随访结果,构建单孔 VATS 术后 CPSP 的预测模型,旨在帮助临床医生筛查 CPSP 高风险人群,以便尽早进行干预。
目前 CPSP 的发生原因尚不明确,多数研究认为其与患者心理因素、术后镇痛药物用量、年龄、性别、手术方式以及急性疼痛的控制不良等多种因素有关[15]。本研究结果显示年龄与CPSP的发生呈负相关,年龄越小的患者越有可能发生CPSP,该现象的原因目前尚无明确研究结果,可能与患者疼痛经历有关,年龄较大的患者手术前更有可能经历其他原因引起的疼痛,相比年轻患者,更不容易在术后发生焦虑紧张等不良情绪,从而降低术后急性疼痛的发生[16-17]。
多数学者已经证实,术后急性疼痛与 CPSP 的发生有强关联性[18-19]。本研究结果进一步证实了这一点,结果显示术后第1天NRS评分较高是CPSP发生的独立危险因素(OR=3.060,95% CI:1.879~4.981,P <0.001),且评分每升高1分,发生CPSP的可能性升高 2.06 倍。其原因可能与大脑内细胞状态的改变以及肋间神经损伤有关。有研究表明,急性疼痛可以改变大脑内细胞与脊髓背角神经元之间连接从而参与 CPSP 的形成,并且该效应在神经性疼痛下尤为明显[20-21]。在VATS期间均使用切口保护套扩张切口,操作时腔镜器械与胸壁之间摩擦均可能导致肋间神经因缺血、牵拉而受损,损伤区域及背根神经节可能产生异常自发放电,引起脊髓神经过敏化从而促使神经病理性疼痛发生。这些急性神经性疼痛在上述效应下可能转变为慢性疼痛[22]。
本研究发现,引流持续时间也是 CPSP 的独立危险因素,分析其原因可能也与神经疼痛有关。首先,肋骨表面骨膜有丰富的神经覆盖,术后引流管长期紧贴肋骨摩擦可导致疼痛[23];其次,引流管长期紧贴、压迫肋间神经也可引起疼痛;最后,引流时间过长可引起局部组织损伤、炎症反应,这些因素导致的急性疼痛均可能演变为慢性疼痛。然而在本研究中,术后是否静脉镇痛以及术后是否药物镇痛与 CPSP 之间并无关联,这可能与样本量较小有关,需要进一步研究证实。
近年来,炎症因子与疼痛的关联性成为研究的热点,因此本研究纳入术后第1天CRP值作为预测因子。研究结果表明,CRP水平与CPSP具有明显正相关性(OR=1.090,95%CI:1.030~1.153,P=0.003),这与多数学者的研究结果相符。目前研究认为, CRP 等炎症因子与外科手术后急性与慢性疼痛之间均有明显关联[24-25],并且有学者还认为其可以作为疼痛的潜在标志物。外科手术后,局部肌肉骨骼等组织损伤可导致全身炎症反应,引起CRP的大量释放,而高水平CRP又会进一步激活大脑内双侧岛叶、后顶叶皮层、尾状核和丘脑等区域,引起疼痛过敏。除了引起急性疼痛以外,CRP还可能通过激活背根节神经元内 FcγRI 相关的 Syk 信号通路,参与慢性疼痛的产生和持续[26-28]。总之,CRP与疼痛之间可相互促进,术后可定期监测血 CRP,尽早干预 CRP水平较高的患者。
综上所述,单孔 VATS 后,患者年龄、术后胸腔闭式引流时间、术后第1天CRP值、术后第1天NRS 评分均与患者CPSP的发生有关,根据各项数值,依据本研究的列线图可对 CPSP 作出准确预测,这有助于术后早期筛选高危人群,尽早采取干预措施。年龄较小的患者在符合胸腔闭式引流拔管条件时可尽早拔除引流管,CRP水平及NRS评分较高患者可采取预防性镇痛,可联合曲马多等口服镇痛药物[29],尽可能减轻患者术后急性疼痛,避免向CPSP转变。
本研究为单中心回顾性、小样本量研究,有待多中心、大样本研究进一步证实。CPSP的发生与多因素有关,有待更多影响因子的纳入以完善模型。本研究为单中心内部验证,未来需要其他中心样本进行外部验证以进一步证实结果。
利益冲突声明:
所有作者声明无利益冲突。
Conflict of Interests:
All authors disclose no relevant conflict of interests.
作者贡献声明:
蒋捷负责实验探究,数据整理,数据分析,初稿撰写;刘锋参与项目管理和论文修改;王波进行图表制作;王芹负责软件操作;钟健负责实验思路构思,实验监督和论文修改。
Author’s Contributions:
JIANG Jie was responsible for experimental exploration,da⁃ ta organization,data analysis,and initial draft writing;LIU Feng participated in project management and revising papers;WANG Bo was responsible for creating charts and graphs;WANG Qin was responsible for software operation;ZHONG Jian was respon⁃ sible for conceptualizing experimental ideas,supervising experi⁃ ments,and revising papers.

